单极放大器作业
关于模型的选择(是否要考虑 $r_O,g_{mb}$):
- 在计算偏置时,不需要考虑二级效应(即 $r_O,g_{mb}$)
- 题目没有说,则默认要考虑二级效应,但如果题目太复杂,可以只考虑某些地方的二级效应,比如:
- 如果器件的漏极连接一个高阻抗(如另一个器件的源极),那么要考虑 $r_O$
关于公式的记忆:
- 只需要记考虑 $r_O,g_{mb}$ 的公式,其余公式可推出来
- 那个,共栅和其他几个公式不太一样,有人有好方法记吗?😫
Tip
求源极负反馈的输出阻抗:
[!NOTE]
根据小信号模型,我们有:
可以算出:
Tip
求下图的输出阻抗:
[!NOTE]
只需要将上面源极负反馈的输出阻抗并联上 $R_D$ 即可:$R_\tx{out}=\{[1+(g_m+g_{mb})R_S]r_O+R_S\} \Vert R_D$
Tip
3.2 In the circuit of Fig. 3.18, assume that $(W/L)_1=50/0.5$, $(W/L)_2=50/2$, and $I_{D1}=I_{D2}=0.5 \tx{mA}$ when both devices are in saturation. Recall that $λ∝1/L$.
(a) Calculate the small-signal voltage gain.
(b) Calculate the maximum output voltage swing while both devices are saturated.
[!NOTE]
Solution:
(a) $A_v = -g_{m1}(r_{O1}\Vert r_{O2})$ where $g_m=\sqrt{2 \mu_n C_\tx{ox} \frac{W}{L} I_D}$ and $r_{O}\approx \dfrac{1}{\lambda I_D}$, therefore
(b) $M_1,M_2$ are in saturation, therefore
Assuming that $M_1$ is on the edge of the triode region, we have
Solve
$$ 0.5\times 10^{-3}=\frac{1}{2}\times 1.34225 \times 10^{-4}\times 50/0.5\times V_\tx{out}^2(1+0.1 V_\tx{out})\\ $$and we have
Assuming that $M_2$ is on the edge of the triode region, we have
Solve
$$ 0.5\times 10^{-3}=\frac{1}{2}\times 1.3835 \times 10^{-4}\times 50/2\times V_\tx{out}^2(1+0.2 V_\tx{out})\\ $$and we have
Tip
3.17 Sketch $V_\tx{out}$ versus $V
> _\tx{in}$ for the circuits of Fig. 3.80 as $V_\tx{in}$ varies from 0 to $V_\tx{DD}$. Identify important transition points.
[!NOTE]
(a)
(b)
(c)
(d)(第二条式子多了个平方)
.PNG) [!CAUTION] 我利用 Cadence 对 (c)(d) 电路进行了仿真,仿真结果如下(注意粉色的曲线是电流⚡)
>
对(c)(d)电路的详细分析:我们设 (c) 中输出为 $V_X$,(d) 中输出为 $V_Y$
不妨先考虑三个管子均饱和的情况。此时,若减小 $V_\tx{in}$,根据 $I_{D3}=\frac{1}{2}K_p(W/L) (V_{GS3}-V_\tx{TH3})^2$,$I_D$ 会变大,此时考虑 $M_1$,由于 $V_{GS1}$ 是固定的,所以如果不考虑沟道长度调制效应,$I_{D1}$ 不会变,这就产生了矛盾。故根据 $I_{D1}=\frac{1}{2}K_n(W/L) (V_{GS1}-V_\tx{TH1})^2(1+\lambda V_{DS1})$,$V_{DS1}$ 应该变大,即 $V_Y$ 应该变大,并且 $V_Y$ 与 $V_\tx{in}$ 之间应该为 2 次关系(开口向上)。$M_2$ 的情况与 $M_1$ 类似,但由于 $V_Y$ 上升导致 $V_{GS2}$ 变小,所以要使 $I_{D2}$ 同等变大,那么 $V_{DS2}$ 增大的幅度也应该更大(对应图中两线分离的部分)。
然后考虑左边的情况,随着 $V_\tx{in}$ 减小且 $V_X$ 增大,$M_3$ 会进入 Triode,这么一来,$I_{D3}=K_p (W/L)[(V_{GS3}-V_\tx{TH})V_{DS3}-\frac{1}{2}V_{DS3}^2]$,注意到 $V_{GS3}$ 变大的同时 $V_X$ 会变大($V_{DS3}$ 变小),这两者的作用会相互抵消,导致 $I_{D3}$ 几乎不变,从而 $V_{DS2},V_{DS1}$ 也几乎不变(对应图中下面的曲线平的那一段)
(关于上一段的进一步解释。首先,既然 $I_D$ 不变,那么 $M_1,M_2$ 三端的电压也应该不变,否则电流就会变,但我们注意到图像中 $V_X$ 却会变大,这显然是矛盾的,唯一的解释就是此时不需要管 $M_2$ 的沟道长度调制效应了。另一个矛盾点是,我们易知:$\dfrac{\p I_{D3}}{\p V_{GS3}}=V_{DS}$,但图像中 $I_{D3}$ 并不随 $V_{GS3}$ 变化,所以这应该是 0,但显然 $V_{DS}\neq 0$😱,这点我实在解释不了……)
Caution
如何分析?
- 先分析输入管的初始状态(要么是 Triode 要么是 Off),并分析此时有无 $I_D$
- 然后根据 $I_D$ 相同,来得到其他管的状态
- 然后改变输入
- 由于各管的状态不会突变(Off到Sat到Tri,或反过来),故可以给
Tip
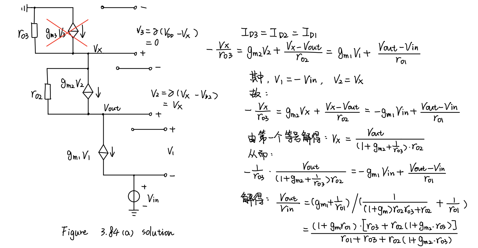
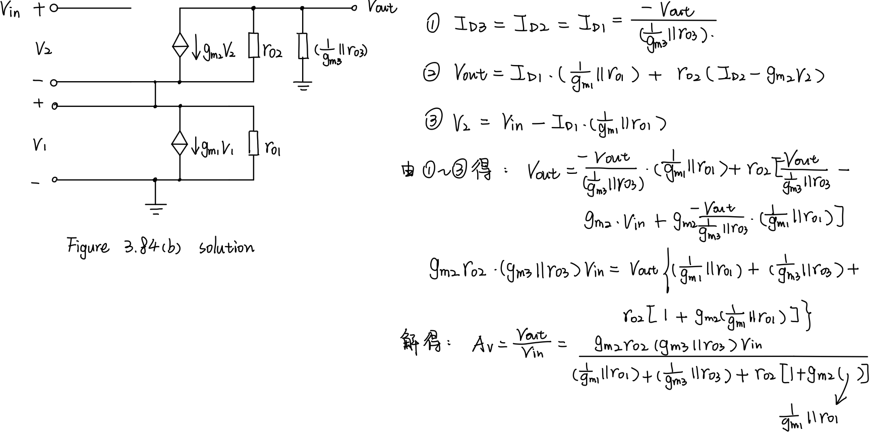
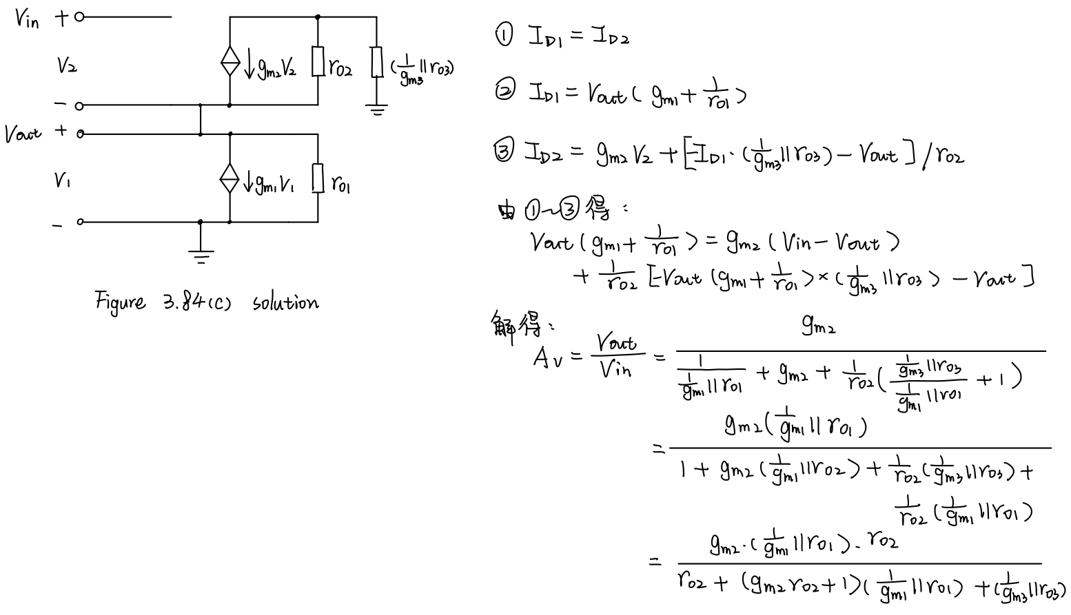
3.21 Assuming all MOSFETs are in saturation, calculate the small-signal voltage gain of each circuit in Fig. 3.84($λ \neq 0,γ=0$).
[!NOTE]
因为题目说 $\lambda=0,\gamma=0$,也就是忽略所有的体效应和沟道长度调制效应,所以 $g_{mb}=0,r_O=\infty$,所以有些题目是无解的。答案上没有忽略 $r_{O}$,那我就当 $\gamma\neq 0$ 来做。
Note
(a)
[!NOTE]
(b)
[!NOTE]
(c)
[!NOTE]
(d) $M_1,M_3$ 可看作 $r_{O1},r_{O3}$,根据前面的公式:
令 $R_S=r_{O1}$,$r_O=r_{O2}$,$R_D=r_{O3}$ 可得:
Note
(e)
Note
(f)
(g)
.jpeg)
Note
(h)
在输入支路上,有:
在输出支路上,有:
将 $V_X$ 代入输入支路表达式,有:
解得: